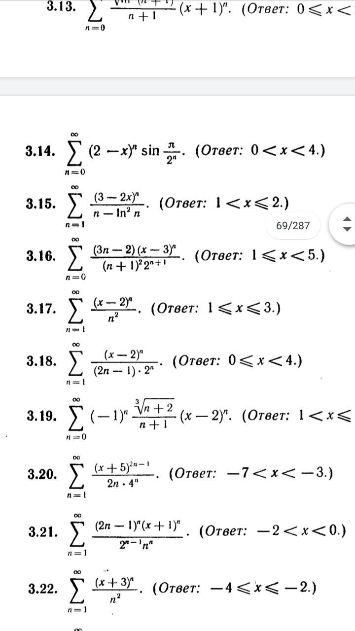
Ответы
Ответ дал:
0
Ответ:
Например, исходный ряд подразделяется на три части: n^n, 2^n*n!, (x-5)^n.
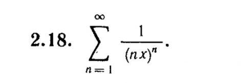
∞
∑
n =
1
n^n
sqrt(n+2)
x^n
РешитьПравила ввода функций:
Все математические операции выражаются через общепринятые символы (+,-,*,/,^). Например, (x-4)n, записываем как (x-4)^n.
Число π ≡ pi, корень квадратный √¯ ≡ sqrt. Например, sqrt(n^2+n), en = exp(n)
Пошаговое объяснение:
timoxaomarovfff:
Ну и что это?
ПРИМЕР. .
Решение.
Общий вид степенного ряда . В нашем случае x0=5, .
Известно, что область сходимости степенного ряда определяется величиной радиуса сходимости R:
|x-x0|Сходимость ряда на границах (при x=x0±R) необходимо исследовать дополнительно.
Найдем радиус сходимости ряда, используя формулу Даламбера:
Решение.
Общий вид степенного ряда . В нашем случае x0=5, .
Известно, что область сходимости степенного ряда определяется величиной радиуса сходимости R:
|x-x0|Сходимость ряда на границах (при x=x0±R) необходимо исследовать дополнительно.
Найдем радиус сходимости ряда, используя формулу Даламбера:
Вас заинтересует
2 года назад
3 года назад
3 года назад
8 лет назад
8 лет назад