• Предмет: Алгебра
  • Автор: aivanova2410200123
  • Вопрос задан 3 года назад

Помогите пожалуйста.
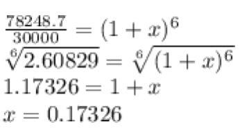
78248.7=30000*(1+х)^6

Ответы

Ответ дал: Eleonora07
1
Вот это ответь ʕ•ᴥ•ʔ
Приложения:
Вас заинтересует