• Предмет: Алгебра
  • Автор: Max4124241
  • Вопрос задан 3 года назад

Срочно! Заранее спасибо!
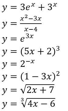
Найти производную функции

Приложения:

Ответы

Ответ дал: Miroslava227
1

Ответ:

1)y' = 3 {e}^{x}  +  {3}^{x}  \times  ln(3)

2)y' =  \frac{(2x - 1)(x - 4) - ( {x}^{2}  - 3x)}{ {(x - 4)}^{2} }  =  \frac{2 {x}^{2} - 8x - x + 4 -  {x}^{2} + 3x  }{ {(x - 4)}^{2} }  =  \frac{ {x}^{2} - 6x + 4 }{ {(x - 4)}^{2} }

3)y' = 3 {e}^{3x}

4)y' = 3 {(5x + 2)}^{2}  \times 5 = 15 {(5x + 2)}^{2}

5)y' =  -  ln(2) \times   {2}^{x}

6)y' = 2(1 - 3x) \times ( - 3) =  - 6(1 - 3x) = 18x - 6

7)y' =  \frac{1}{2}  {(2x + 7)}^{ -  \frac{1}{2} }  \times 2 =  \frac{1}{ \sqrt{2x + 7} }

8)y' =  \frac{1}{3}  {(4x - 6)}^{ -  \frac{2}{3} }  \times 4 =  \frac{4}{3 \sqrt[3]{ {(4x - 6)}^{2} } }

Вас заинтересует