Вместо точек запишите такие выражения чтобы получилось верное равенство
Помогите, срочно сегодня!
Приложения:

akitogh12345:
а) (а²)²×(а)3
Ответы
Ответ дал:
8
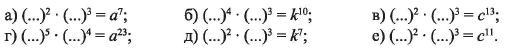
Ответ: а) (а²)²×а³
б) k⁴×(k²)³
в)(c в пятой степени)²×c³
г)(а³)в пятой степени × (а²)⁴
д) (k²)²×k³
e)(a⁴)²×a³
Объяснение:
Вас заинтересует
2 года назад
2 года назад
2 года назад
2 года назад
7 лет назад
9 лет назад