• Предмет: Алгебра
  • Автор: necromanty
  • Вопрос задан 3 года назад

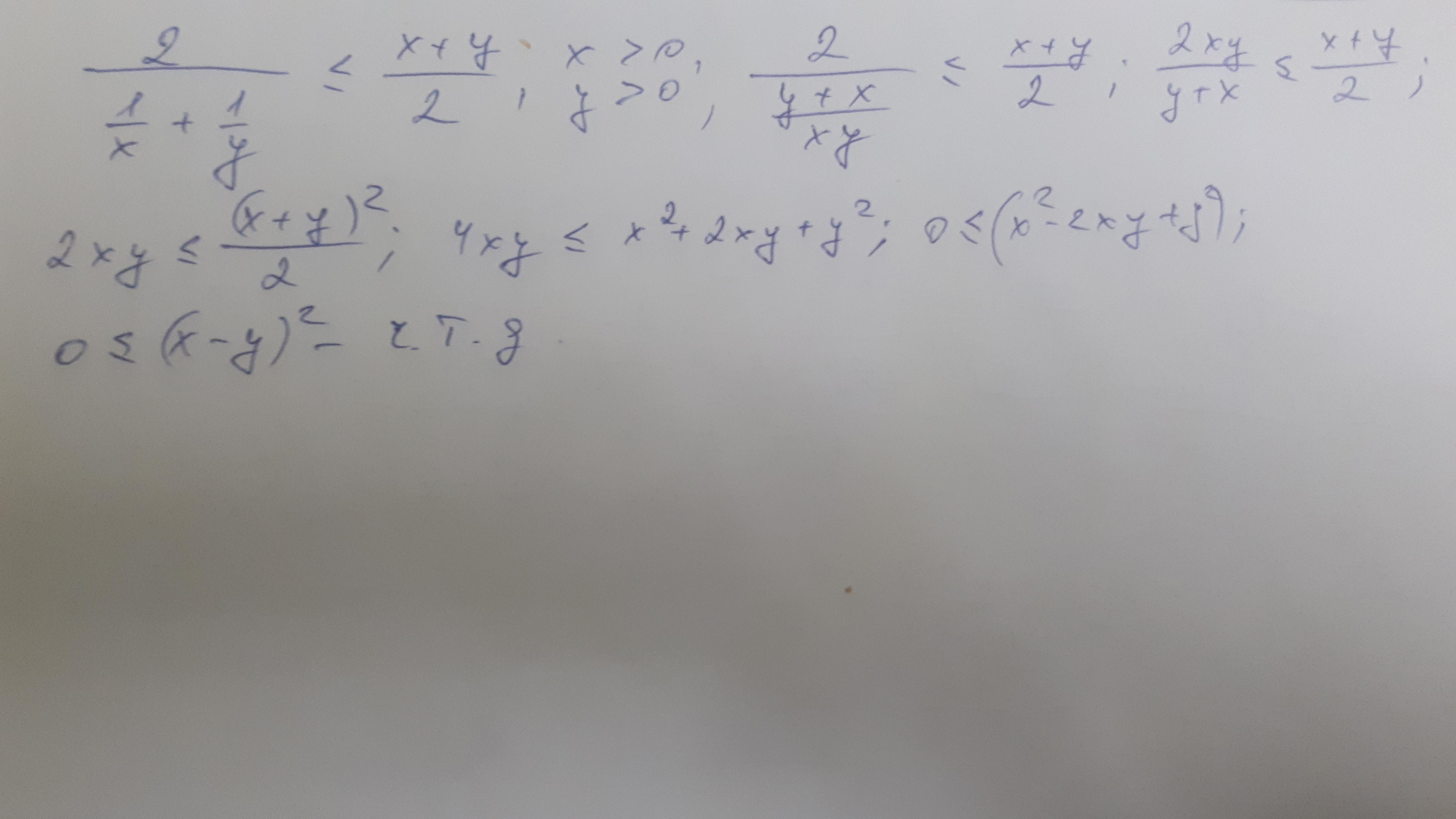
Обоснуйте, что для любых чисел x, y> 0 выполняется неравенство

Приложения:

kanmmu: Среднее арифметическое n положительных чисел всегда больше или равно среднего гармонического этих чисел. Или здесь доказательство нужно?

Ответы

Ответ дал: kanmmu
1

Ответ:

Объяснение:

На фото

Приложения:

necromanty: Благодарю.
Вас заинтересует