Найди значение разности.
Ответ:
Назад
Проверить
Приложения:

NelliKoishibaeva:
Для тех кто смотрит рекламу 1 1/4
Ответы
Ответ дал:
23
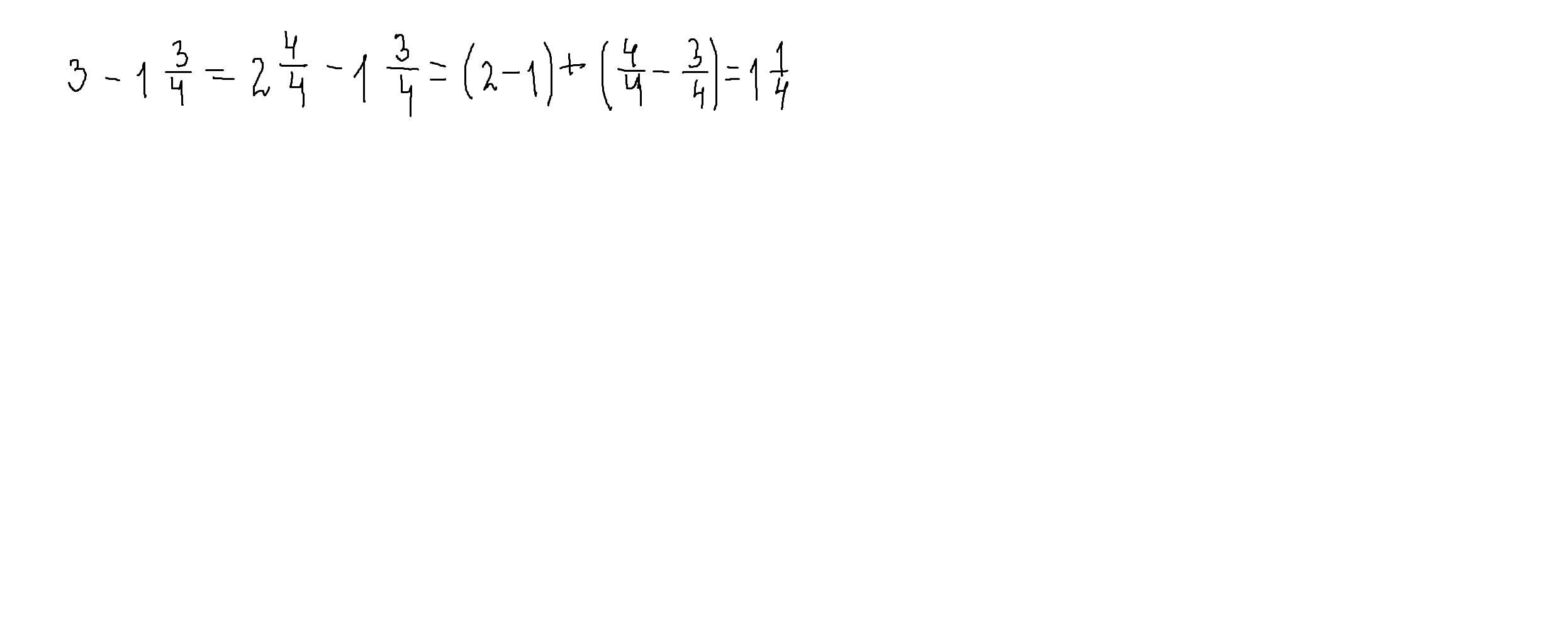
Ответ:
1 1\4
Пошаговое объяснение:
Приложения:

Вас заинтересует
2 года назад
2 года назад
2 года назад
7 лет назад
9 лет назад