• Предмет: Алгебра
  • Автор: Аноним
  • Вопрос задан 3 года назад

Помогите сделать 3 и 4 первого варианта дам 51 балов пожалуйста

Приложения:

Ответы

Ответ дал: parus77
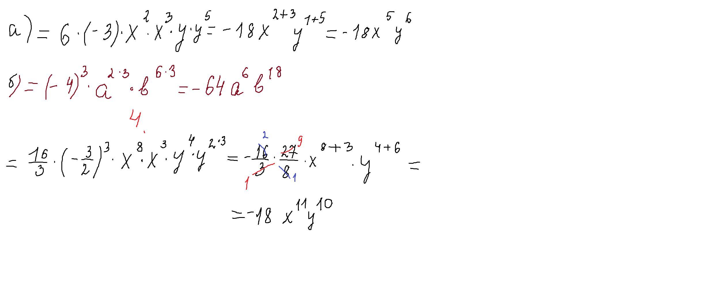
1

Ответ:

Объяснение:

решение внизу

Приложения:
Вас заинтересует