• Предмет: Математика
  • Автор: aleksandrakorotich
  • Вопрос задан 3 года назад


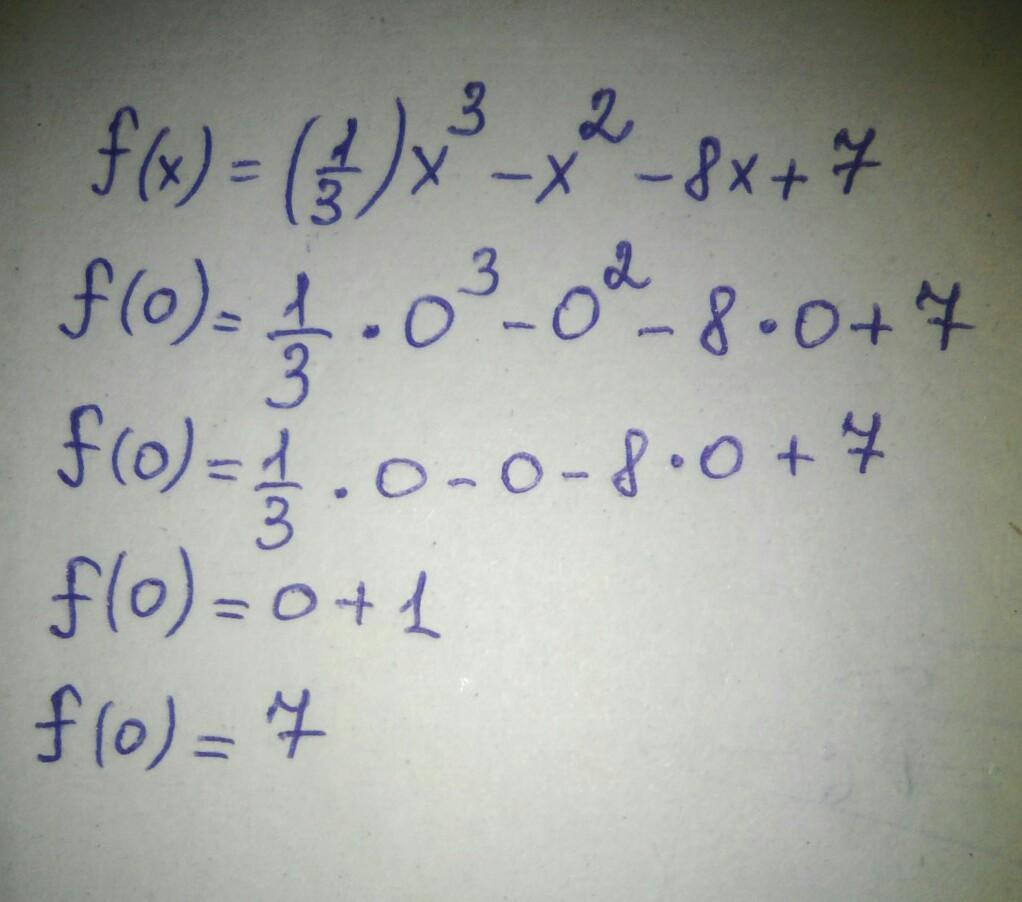
f(x) =  \binom{1}{3} x {}^{3}  - x {}^{2}  - 8x + 7Помогите пожалуйста ​

Ответы

Ответ дал: Аноним
2

Ответ:

Решение смотри на фотографии

Приложения:
Вас заинтересует