• Предмет: Математика
  • Автор: romakronberg093
  • Вопрос задан 3 года назад

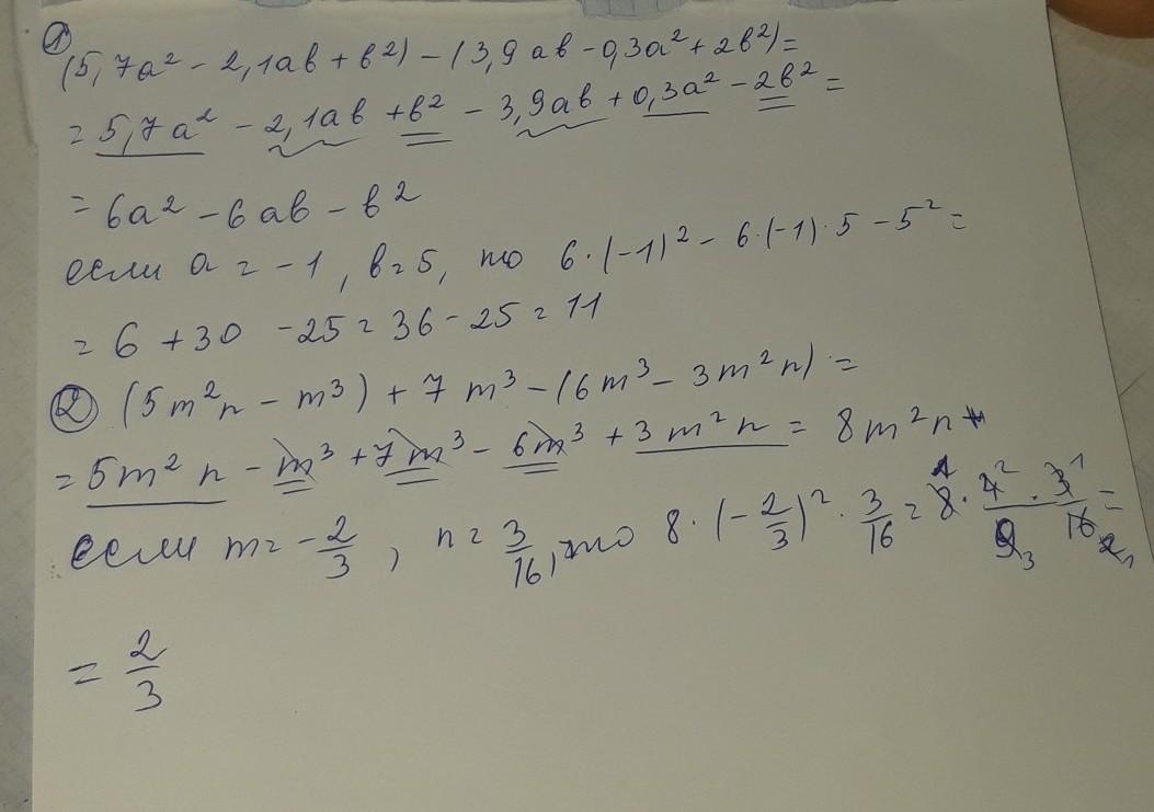
впр. 350 второй пример

Приложения:

Ответы

Ответ дал: lida2708
1

Пошаговое объяснение:

решение на фото.........

Приложения:
Вас заинтересует