• Предмет: Алгебра
  • Автор: dpdpdpdppd36
  • Вопрос задан 3 года назад

пожалуйста, решите !! очень нужно .. то, что нужно отмечено красным . даю 30 б

Приложения:

Ответы

Ответ дал: tamarabernukho
0

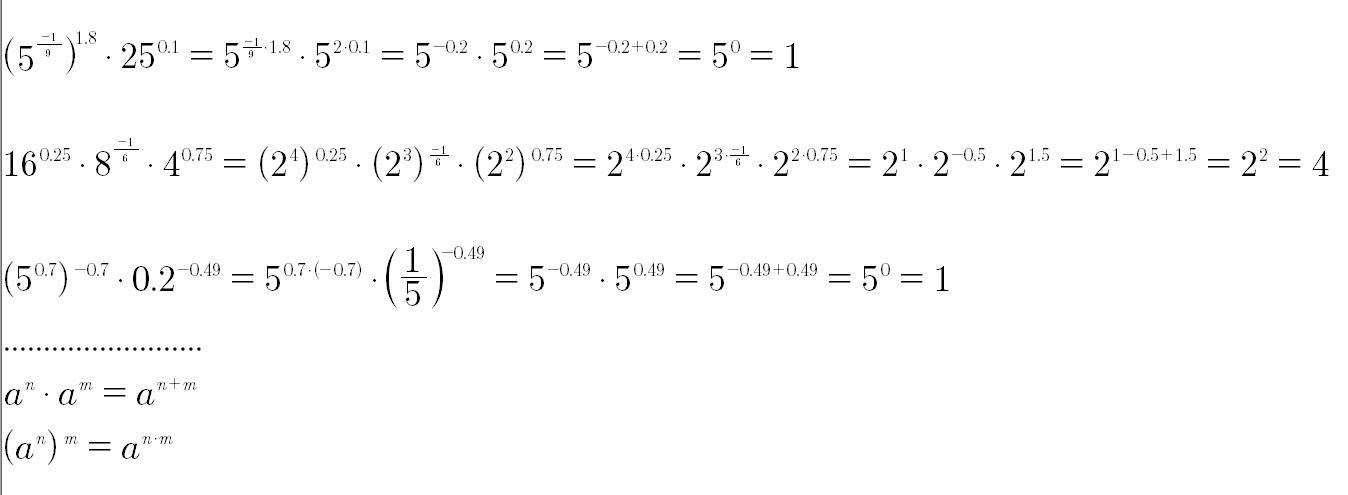
Ответ:

Объяснение:

..........................................

Приложения:
Вас заинтересует