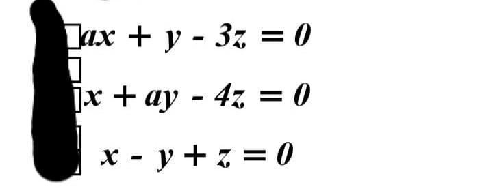
при каких значениях a система уравнений имеет нетривиальные (ненулевые) решения? Найти эти решения
Приложения:

Ответы
Ответ дал:
0
Ответ: при а не равном 4
Система имеет не нулевые решения
Объяснение:
runcupa21:
можно решение
Вас заинтересует
2 года назад
2 года назад
2 года назад
2 года назад
7 лет назад
7 лет назад
9 лет назад