• Предмет: Математика
  • Автор: nng2100
  • Вопрос задан 3 года назад

................................ ​

Приложения:

Ответы

Ответ дал: Miroslava227
1

Пошаговое объяснение:

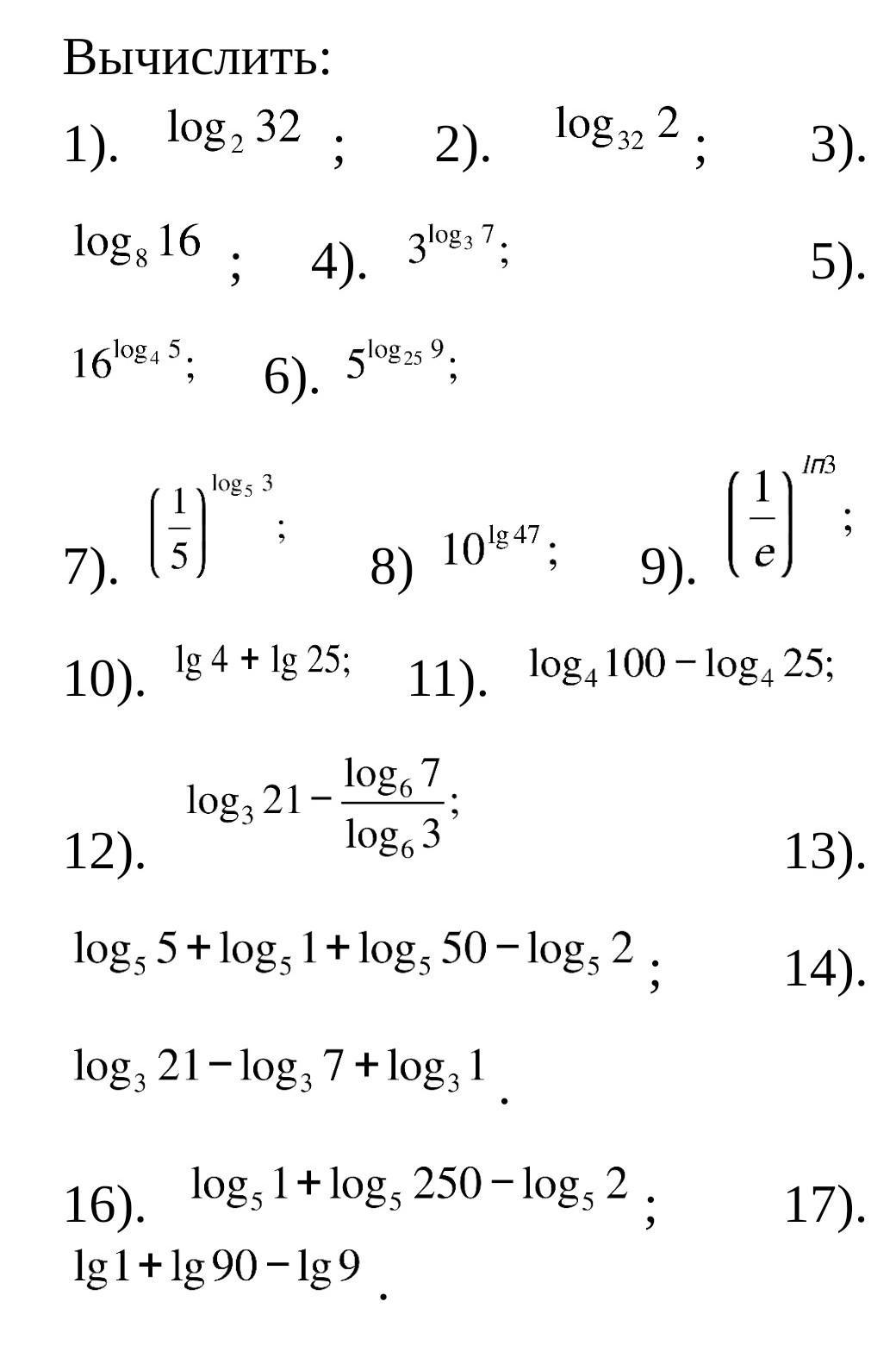
1)  log_{2}(32)  =  log_{2}( {2}^{5} )  = 5

2) log_{32}(2)  =  log_{ {2}^{5} }(2)  =  \frac{1}{5}  log_{2}(2)  = 0.2

3) log_{8}(16)  =  log_{ {2}^{3} }( {2}^{4} )  =  \frac{1}{3}  \times 4  \times  log_{2}(2)  =  \frac{4}{3}

4) {3}^{ log_{3}(7) }  = 7

5) {4}^{2 log_{4}(5) }  =  {4}^{ log_{4}( {5}^{2} ) }  = 25

6) {5}^{ log_{ {5}^{2} }(9) }  =  {5}^{ \frac{1}{2} log_{5}(9)  }  =  {5}^{ log_{5}( {9}^{ \frac{1}{2} } ) }  = 3

7) {5}^{ -  log_{5}(3) }  =  {5}^{ log_{5}( {3}^{ - 1} ) }  =  \frac{1}{3}

8) {10}^{2 log_{10}(47) }  = 47

9) {e}^{ -  log_{e}(3) }  =  {e}^{ log_{e}( {3}^{ - 1} ) }  =  \frac{1}{3}

10) = lg(4 \times 25) = lg(100) =  log_{10}(100)  = 2

11) =  log_{4}( \frac{100}{25} )  =  log_{4}(4)  = 1

12) log_{3}(21)   -  log_{3}(7)  =  log_{3}( \frac{21}{7} )  =  log_{3}(3)  = 1

13)1 + 0 +  log_{5}( \frac{50}{2} )  = 1 +  log_{5}(25)  = 1 + 2 = 3

14) log_{3}( \frac{21}{7} )  + 0 = 1

16)0 +  log_{5}(  \frac{250}{2} ) =  log_{5}(125)  = 3

17)0 + lg( \frac{90}{9} ) =  log_{10}(10)  = 1

Вас заинтересует