• Предмет: Математика
  • Автор: fidndhdhbdudj
  • Вопрос задан 3 года назад

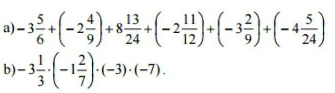
б) -3 1/3 ×(-1 2/7)× (-3)×(-7)
помогите пожалуйста ​

Приложения:

Ответы

Ответ дал: tamiktomer
1

Ответ:

90

Пошаговое объяснение:

Будет

-10/3×(-9/7)×(-3)×(-7)=10/3×9/7×3×7 убираем минусы и сокращаем 3 и 7.Получиться

10×9=90

Вас заинтересует