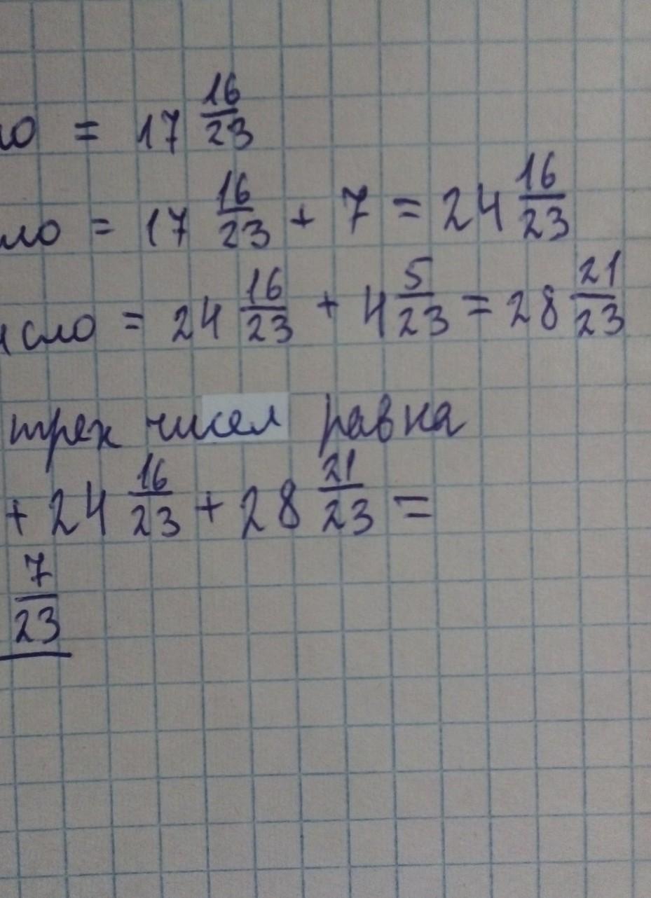
Дано три числа. Первое число равно 17 16/23 второе число на 7 больше, чем первое число, а третье
число на 4 5/23 больше, чем второе число. Найдите сумму трех чисел.
Ответ:
Ответы
Ответ дал:
23
вот решение
ответ будет 71 7/23
Приложения:


Аноним:
спасибо правильно
Вас заинтересует
2 года назад
2 года назад
2 года назад
7 лет назад
7 лет назад