• Предмет: Математика
  • Автор: TOSTIK0
  • Вопрос задан 3 года назад

помогите плиз срочно нужно

Приложения:

Ответы

Ответ дал: ggornikova
0

Ответ:

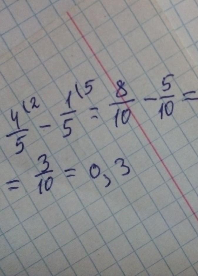
4/5-1/2 равно 13/10

Пошаговое объяснение:


ggornikova: извените равно 3/10
kacusovatana41: ты зачем сложил
kacusovatana41: нужно было вычесть
Ответ дал: kacusovatana41
0

достаточно просто

ответ:0,3

Приложения:
Вас заинтересует