Ответы
Ответ дал:
1
Ответ:
Объяснение:
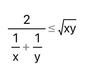
Про средние вчера вам отвечал. Тут идея похожая. На фото
Приложения:

necromanty:
Спасибо ещё раз. Я просто попытался сам решить, но как-то не пошло)
Вас заинтересует
2 года назад
2 года назад
2 года назад
7 лет назад
9 лет назад