• Предмет: Математика
  • Автор: sedabo8052
  • Вопрос задан 3 года назад

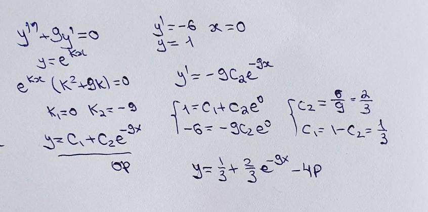
Решите пожалуйста уравнение

Приложения:

Ответы

Ответ дал: Miroslava227
1

Ответ:

решение на фотографии

Приложения:
Вас заинтересует