• Предмет: Алгебра
  • Автор: Аноним
  • Вопрос задан 3 года назад

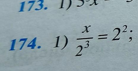
Решите уравнение алгебра номер 174​

Приложения:

ProstoProMaster: отметь ответ как лучший пж

Ответы

Ответ дал: ProstoProMaster
0

Ответ:

х=32

Объяснение:

х=2*2*2*2*2

х=32


ProstoProMaster: могу только отметь ответ как лучший
Аноним: сделал
ProstoProMaster: нет ты не отметил
Аноним: как отметить тогда
ProstoProMaster: рядом с ответом у тебя коронка есть?
ProstoProMaster: если есть нажми на нее
Аноним: бро нету
Аноним: просто так отправь плезз
ProstoProMaster: неееееее
Аноним: броя ответил помоги плезз
Вас заинтересует