• Предмет: Алгебра
  • Автор: Аноним
  • Вопрос задан 3 года назад

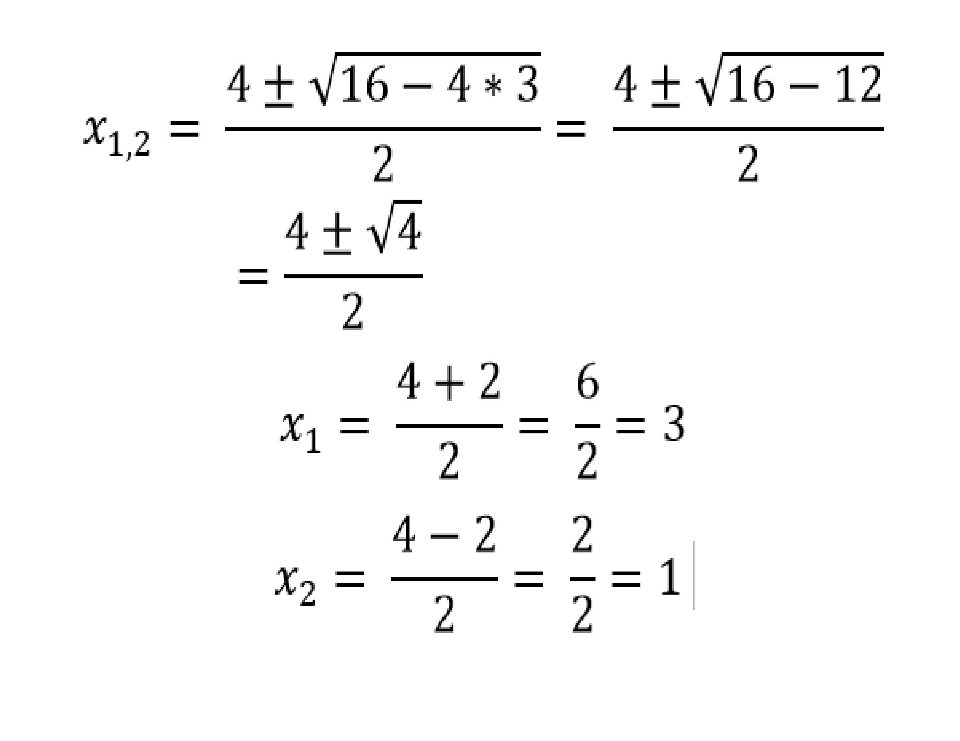
x² - 4x +3=0
решите пожалуйста​

Ответы

Ответ дал: scvscs
1

Ответ:

x1 = 3, x2 = 1

Объяснение:

смотри файл, там всё расписано

Приложения:
Вас заинтересует