Ответы
Ответ дал:
2
Ответ:
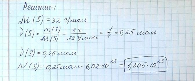
1,505×10^23 атомов. решение в фото
Приложения:

dinarockairzakova:
спасибоооооооо
Вас заинтересует
2 года назад
2 года назад
7 лет назад
9 лет назад
9 лет назад