• Предмет: Математика
  • Автор: akniet9490
  • Вопрос задан 3 года назад

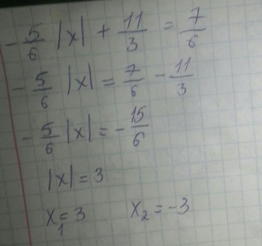
теңдеудің түбірлерін тап:-5/6|х|+11/3=7/6​

Ответы

Ответ дал: Аноним
26

Пошаговое объяснение:

Түсінгенімше осылай шығады.

Жауабы: х1 = 3 ж/е х2 = -3

Приложения:

akniet9490: Рахмет дұрыс
Аноним: спасибо баса салсаныз ен болмаса)
peach82: в онлайн мектеп это будет 3 и -3 (если кому то надо)
aikorkemnaurzbai08: спс
aiganymdoskali: Теңдеудің түбірлерін тап:
|-7/8х|-|-3/5|=-|-3/10|
Вас заинтересует