• Предмет: Математика
  • Автор: konaevdanil7
  • Вопрос задан 3 года назад

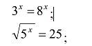
Решить показательные уравнения

Приложения:

Ответы

Ответ дал: Miroslava227
0

Ответ:

1) {3}^{x}  =  {8}^{x}  \\  \frac{ {3}^{x} }{ {8}^{x} }  = 1 \\  {( \frac{3}{8} )}^{x}  = ( { \frac{3}{8} )}^{0}  \\ x = 0

2) \sqrt{ {5}^{x} }  = 25 \\  {5}^{ \frac{x}{2} }    =   {5}^{2}   \\ \frac{x}{2}  = 2 \\ x = 4

Вас заинтересует