Дифференциальные уравнения, не разрешенные относительно производной. Помогите, пожалуйста
Приложения:

Ответы
Ответ дал:
1
Ответ:
Пошаговое объяснение:
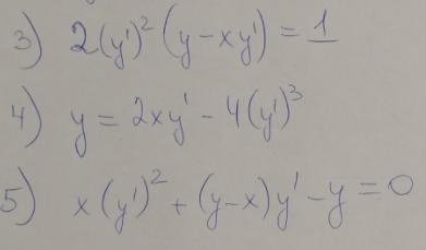
В приложении
Приложения:


Вас заинтересует
2 года назад
2 года назад
2 года назад
2 года назад
7 лет назад
7 лет назад