• Предмет: Математика
  • Автор: inkina03
  • Вопрос задан 3 года назад

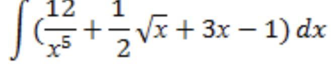
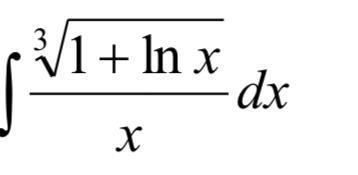
ВЫЧИСЛИТЕ НЕОПРЕДЕЛЕННЫЙ ИНТЕГРАЛ ! ПОЖАЛУЙСТА хоть что-нибудь

Приложения:

Ответы

Ответ дал: Miroslava227
1

Ответ:

решение на фотографиях

Приложения:
Вас заинтересует