• Предмет: Алгебра
  • Автор: gg00Vit
  • Вопрос задан 3 года назад

Решите пж!!!!!!!!!!!!!!

Приложения:

Ответы

Ответ дал: xenia555lucky
0

Ответ:

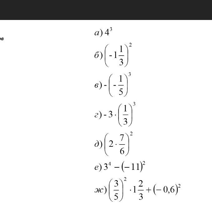
а) 4•4•4= 64

б) 1 7/9

в) 1/125

г) 1/9

д) 4 4/9

е) 59

Вас заинтересует