• Предмет: Алгебра
  • Автор: 1234123423142134
  • Вопрос задан 3 года назад

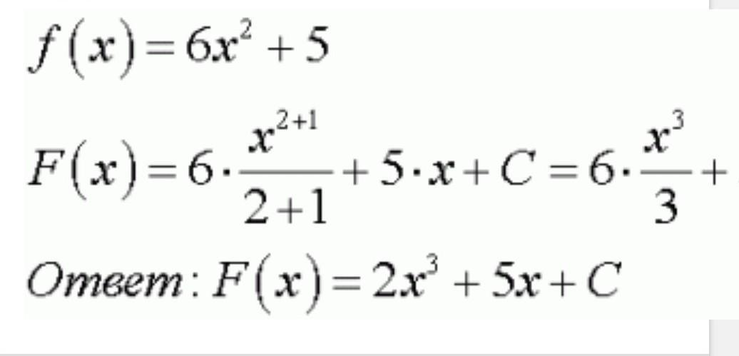
Знайти загальний вигляд первісної функції
f(x)=3x²-2x+1

Ответы

Ответ дал: ttAssistanTtt
4

тримай удачі в навчанні

Приложения:

1234123423142134: А як їх вирішувати?
ttAssistanTtt: Як допомогти
1234123423142134: Я ніяк не зрозумію як їх вирішувати(((
Вас заинтересует