Ответы
Ответ дал:
2
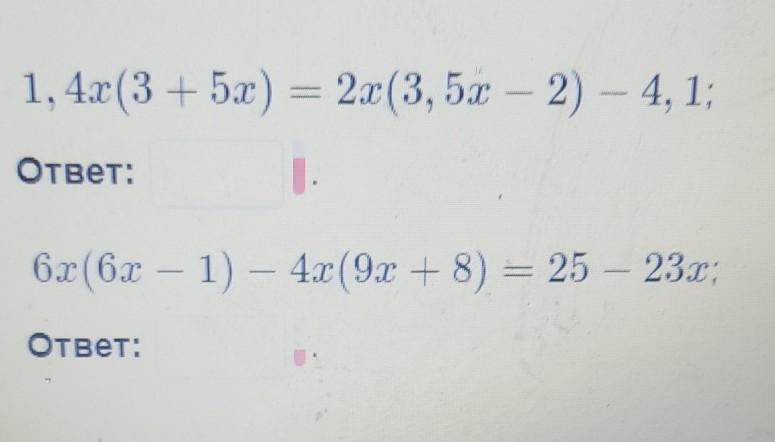
Ответ: 1)-0,5
2) не уверена,но -5/3
Ответ дал:
1
Объяснение:
photomath никогда не врёт)
Приложения:


Вас заинтересует
2 года назад
2 года назад
2 года назад
2 года назад
7 лет назад
7 лет назад
9 лет назад