• Предмет: Алгебра
  • Автор: safina19062007
  • Вопрос задан 3 года назад

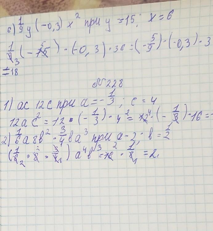
помогите пожалуйста решить 226 и 228 пожалуйста ​

Приложения:

Аноним: прости,но я алгебру плохо знаю

Ответы

Ответ дал: alikulovaindira0
2

все не влезает только так а 28 не влезает могу в то скинуть если скинуть напиши в комах да

Приложения:

safina19062007: спасибочки ♥️♥️
safina19062007: да
Вас заинтересует