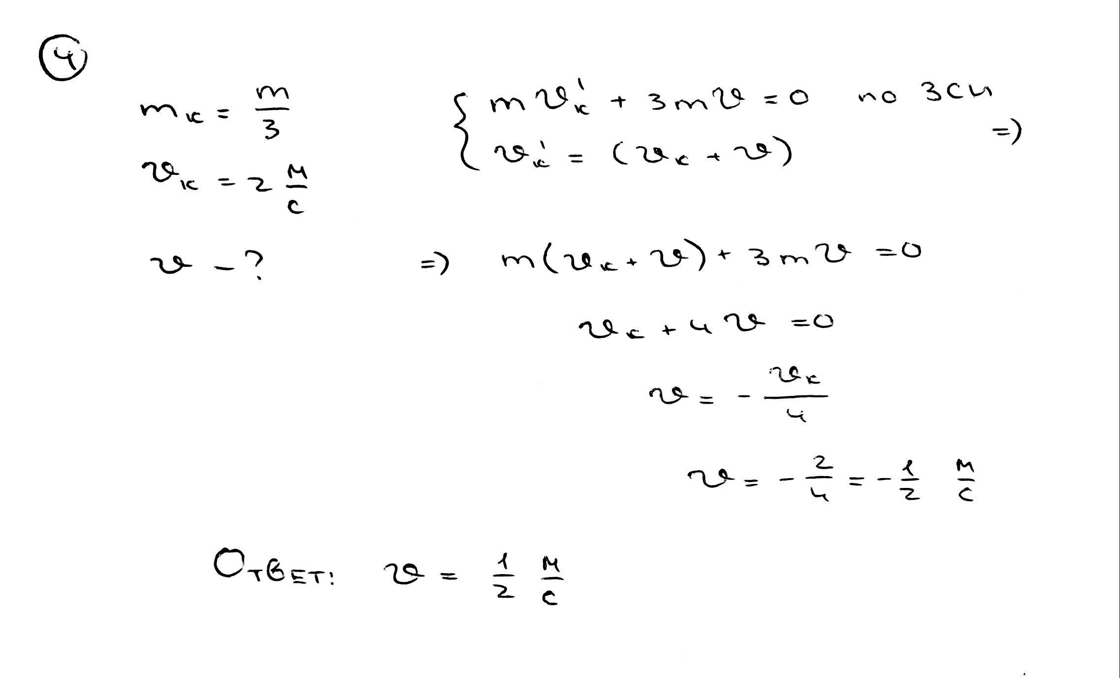
космонавт що працює у відкритому космосі поблизу орбітальноі станціі нерухомий відносно неї. Він відштовхнув від себе контейнер маса якого втричі менша від маси самого космонавта.Контейнер набрав швидкість 2 м/с відносно космонавта. Якої швидкості набуває космонавт відносно орбітальної станції?
Ответы
Ответ дал:
1
Ответ:
0.5 м/с
Объяснение:
Смотрите прикрепленное решение.
Приложения:

Cimbaksu:
огромное спсасибо)
Вас заинтересует
2 года назад
2 года назад
2 года назад
7 лет назад
7 лет назад
9 лет назад
9 лет назад