• Предмет: Математика
  • Автор: Аноним
  • Вопрос задан 3 года назад

УПРОСТИТЕ ВЫРАЖЕНИЕ ВСЁ НАВЕРХУ!​

Приложения:

Ответы

Ответ дал: parus77
1

Ответ:

Пошаговое объяснение:

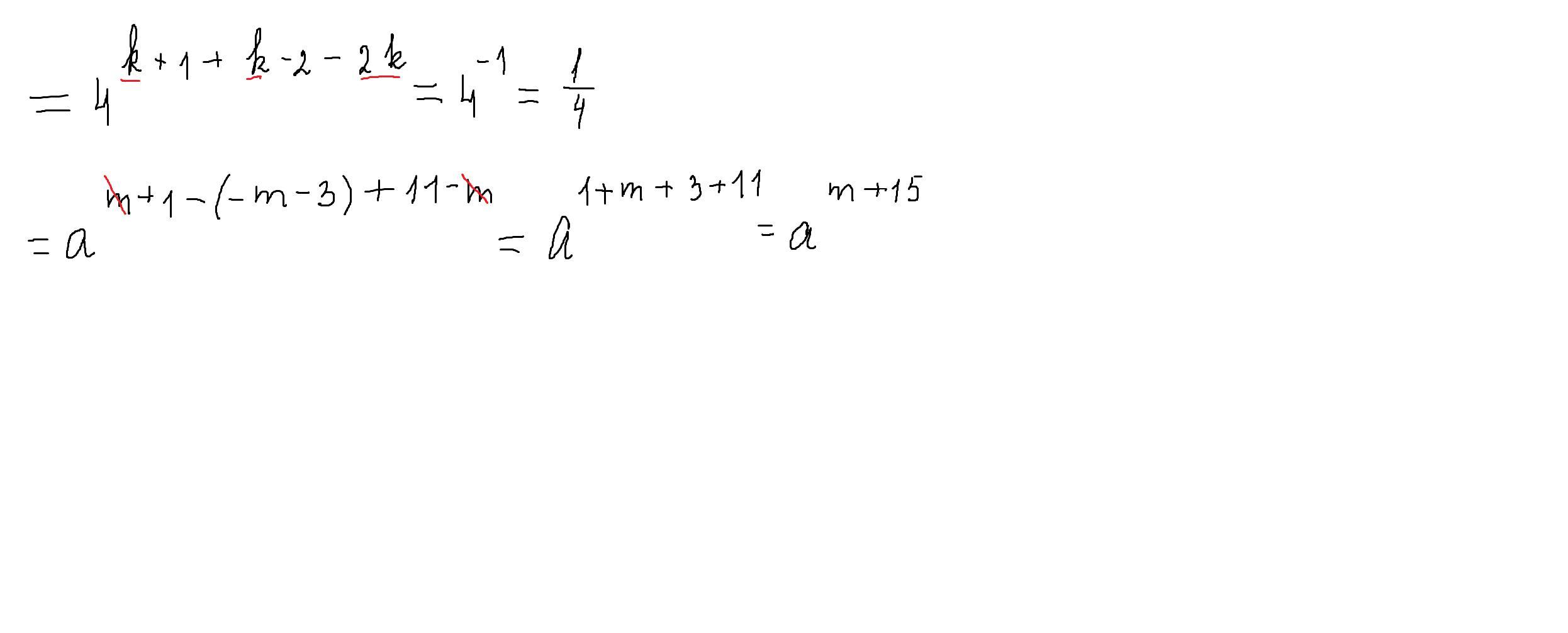
при умножении степеней с одинаковыми основаниями показатели СКЛАДЫВАЮТСЯ,при делении-ВЫЧИТАЮТСЯ.

Приложения:
Вас заинтересует