• Предмет: Математика
  • Автор: iiiooopp777
  • Вопрос задан 3 года назад

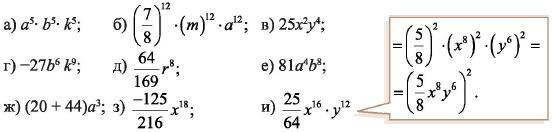
Предоставьте в виде степени

(вариант *и*необязательно делать)

ПЖ, помогите!!!

Приложения:

Ответы

Ответ дал: tatsach
1

Ответ:

Пошаговое объяснение:

Приложения:
Вас заинтересует