• Предмет: Математика
  • Автор: zannavolk0
  • Вопрос задан 3 года назад

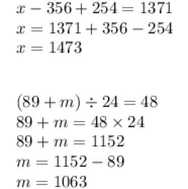
(x-356)+254=1371;(89+m):24=48

Ответы

Ответ дал: akuzovleva2001
0

x - 356 + 254 = 1371 \\ x = 1371 + 356 - 254 \\ x = 1473

(89 + m) \div 24 = 48 \\ 89 + m = 48 \times 24 \\ 89 + m = 1152 \\ m = 1152 - 89 \\ m = 1063

Ответ дал: Eleonora07
0
Вот думаю правильно
Приложения:
Вас заинтересует