• Предмет: Алгебра
  • Автор: dimagrandfinal
  • Вопрос задан 3 года назад

Даю 30 баллов срочно решите уравнение

Приложения:

Ответы

Ответ дал: kozhakova1501
1

Ответ:

Можно решить с помощью приложения Photomath

Объяснение:

Надеюсь правильно

Приложения:

dimagrandfinal: спс
kozhakova1501: можешь отметить как лучший ответ
dimagrandfinal: ок, когда появится
kozhakova1501: ок
Ответ дал: leutskaaula
1

Ответ:

х=6

Объяснение:

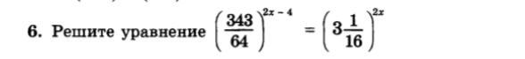
(343/64)²х-⁴=(3 1/16)²х

(7/4)⁶х-¹²=(3 1/16)²х

(7/4)⁶х-¹²=(49/16)²х

(7/4)⁶х-¹²=(7/4)⁴х

6х-12=4х

6х=4х+12

6х-4х=12

2х=12

х=6

Вас заинтересует