• Предмет: Алгебра
  • Автор: Аноним
  • Вопрос задан 3 года назад

помогите пожалуйста ​

Приложения:

Ответы

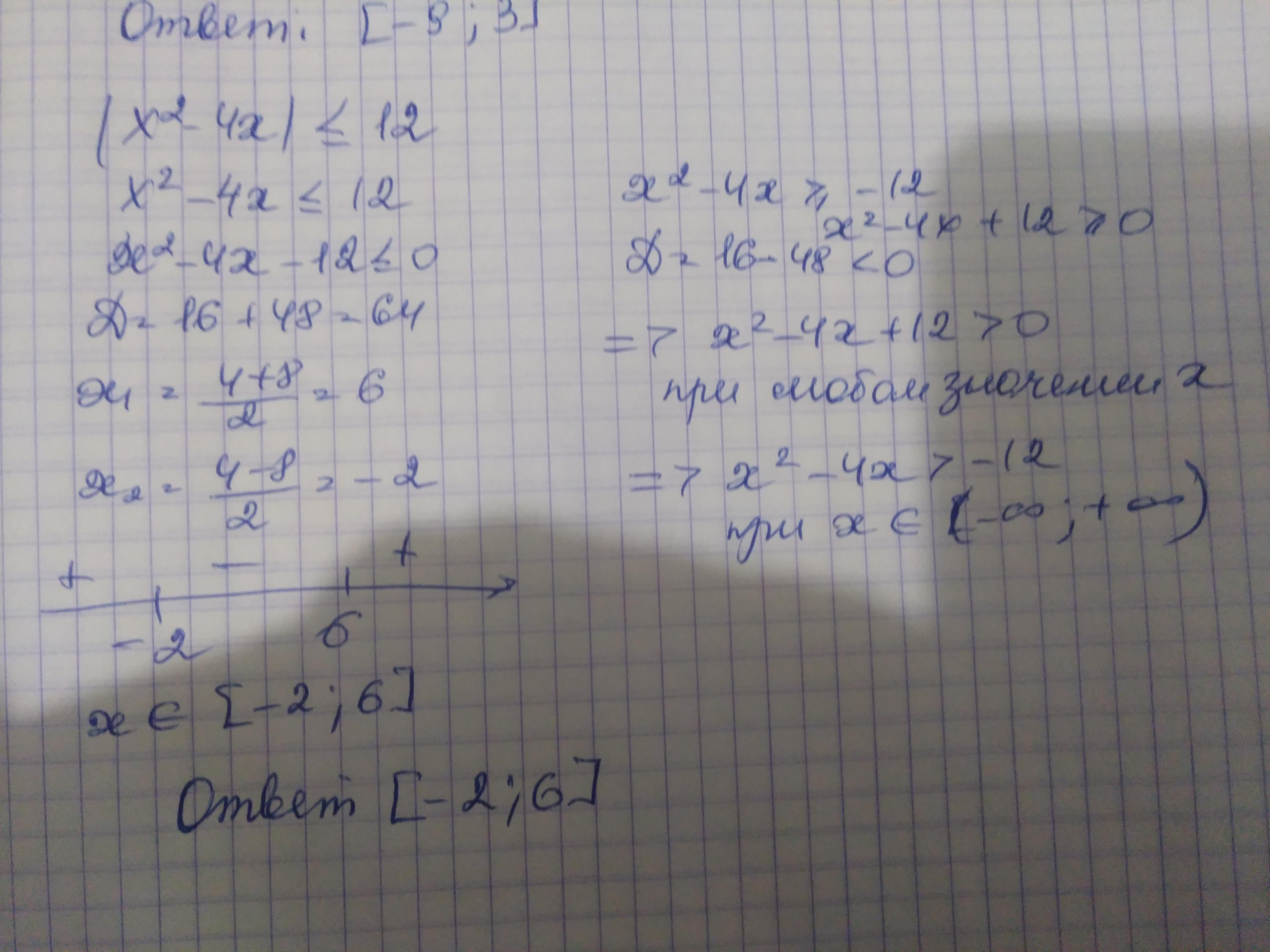
Ответ дал: MizoriesKun
3

Смотри...........................

Приложения:

Аноним: Спасибо за ответ
Вас заинтересует