• Предмет: Алгебра
  • Автор: elenakuznecova46503
  • Вопрос задан 3 года назад

помогите пожалуйста
срочно нужно
даю 20 б​

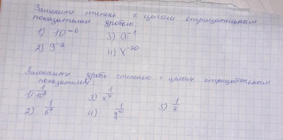
Приложения:

Ответы

Ответ дал: sashalike002
0

Ответ:

1)1/10^6

2)1/9^2

3)1/а

4)1/х^20

1)10^-2

2)6^-7

3)x^-7

4)y^-10

5)7^-1

Вас заинтересует