• Предмет: Алгебра
  • Автор: kloiy
  • Вопрос задан 3 года назад

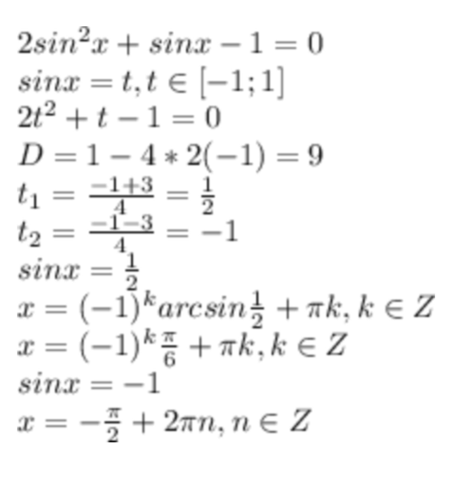
ФОТКА ПРИКРЕПЛЕНА!!!! АЛГЕБРА ​

Приложения:

Ответы

Ответ дал: anara2020041
1

Ответ:

извиняюсь за качество

Приложения:
Вас заинтересует