Ответы
Ответ дал:
1
Ответ:
Пошаговое объяснение:
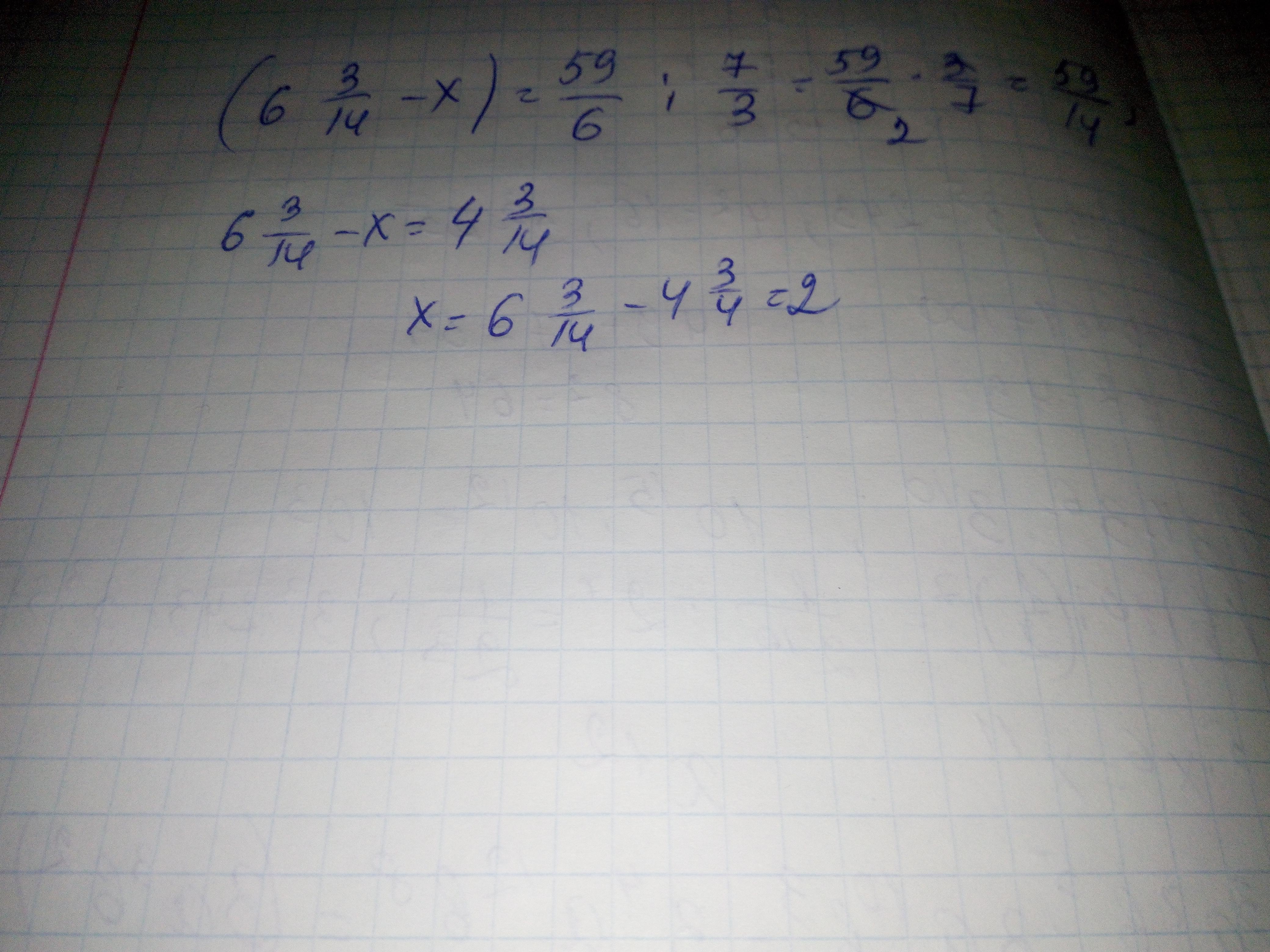
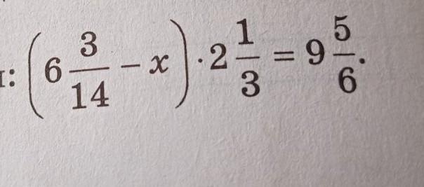
6 3\14-х=9 5\6:2 1\3
6 3\14-х=59\6*3\7
6 3\14-х=59\14
6 3\14-х=4 3\14
х=6 3\14-4 3\14
х=2
Ответ дал:
1
Ответ:
Пошаговое объяснение:
Приложения:

Вас заинтересует
2 года назад
2 года назад
7 лет назад
7 лет назад
9 лет назад