• Предмет: Алгебра
  • Автор: artemmartynyuk
  • Вопрос задан 3 года назад

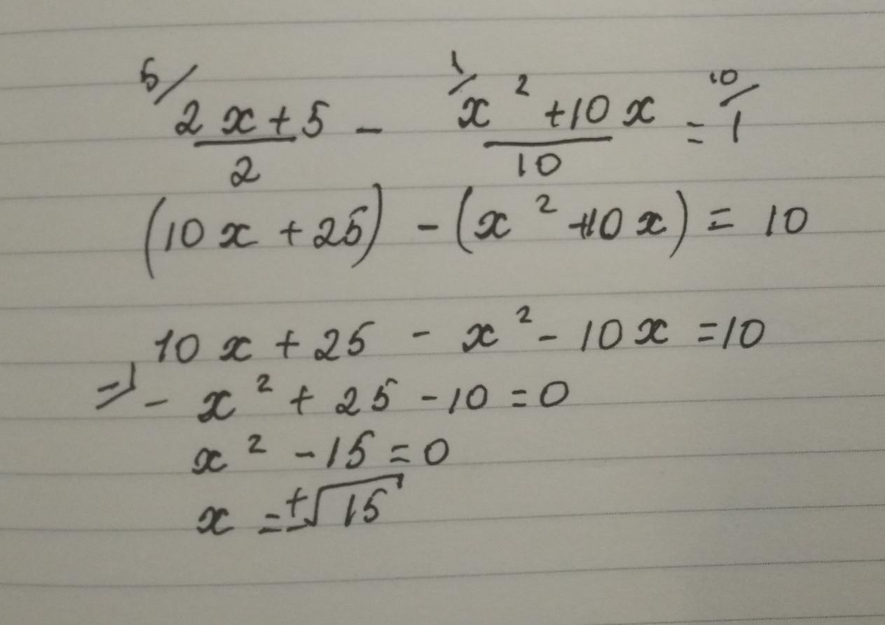
Найдите корни уравнения 2x + 5 / 2 - x квадрат + 10 x / 10 равно 1​

Ответы

Ответ дал: lalalisamonaban
4

Ответ:

старался как могла думаю решила правильно надеюсь вам помогло

Приложения:
Вас заинтересует