• Предмет: Математика
  • Автор: oksanakoltun57
  • Вопрос задан 3 года назад

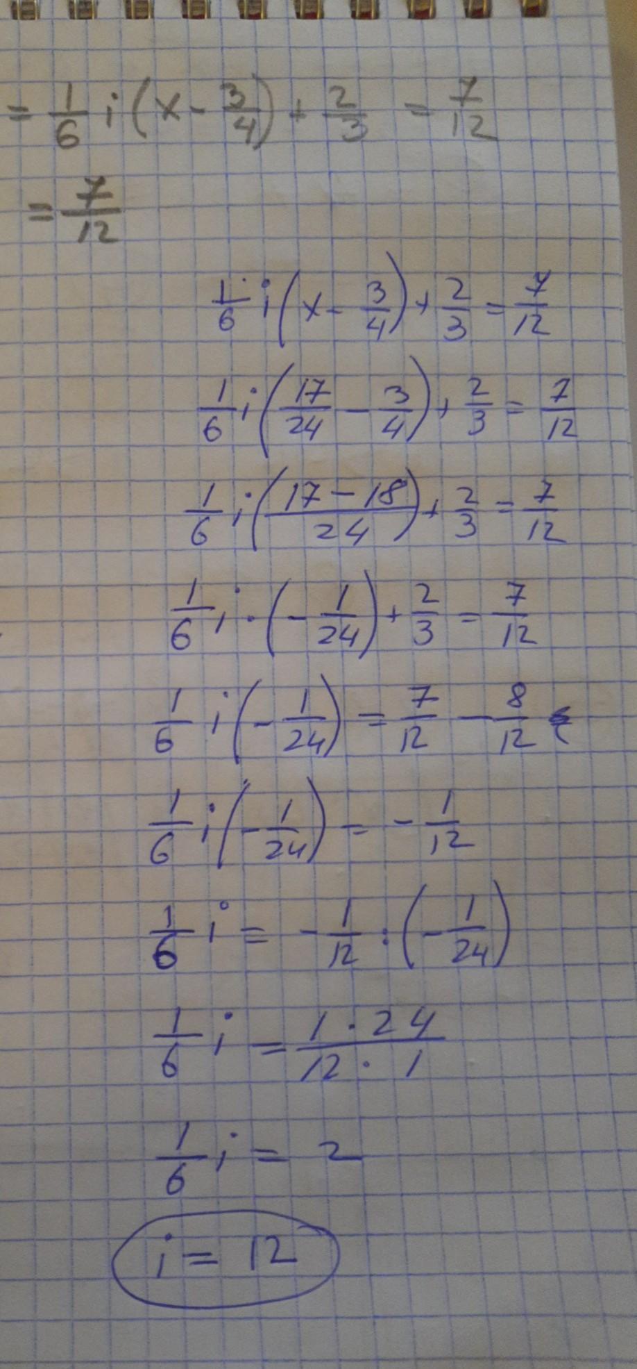
уравнение, помогите пожалуйста!!! ​

Приложения:

pupsinok: а где само уравнение?
oksanakoltun57: вставила
sany228225: там цифры не хвотает
oksanakoltun57: не пон
oksanakoltun57: я даже не увидела

Ответы

Ответ дал: gulnar29011985
1

Ответ:

Пошаговое объяснение:

Приложения:
Ответ дал: pupsinok
1

Ответ:

на одно фото не поместилось

Приложения:
Вас заинтересует