• Предмет: Алгебра
  • Автор: sweev2005
  • Вопрос задан 3 года назад

Помогите с заданием​

Приложения:

Ответы

Ответ дал: Miа16
1

Ответ:

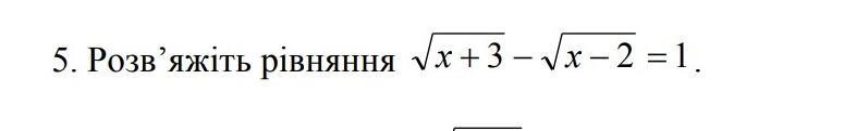
5) \sqrt{x+3} -\sqrt{x-2} =1

\sqrt{x+3} =1+\sqrt{x-2}

x+3=1+2\sqrt{x-2} +x-2

3=1+2\sqrt{x-2} -2

3=-1+2\sqrt{x-2}

-2\sqrt{x-2} =-1-3

-2\sqrt{x-2} =-4

\sqrt{x-2} =2

x-2=4

x=4+2

x=6

Проверка:

\sqrt{6+3} -\sqrt{6-2} =1

1=1

x = 6

Вас заинтересует