• Предмет: Алгебра
  • Автор: kbasova69
  • Вопрос задан 3 года назад

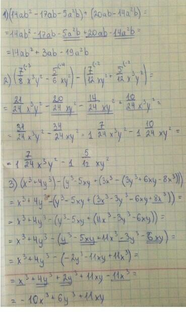
Упростите выражение (7/8x^3y^2-5/6xy^2)-(-7/12xy^2+5/12x^3y^2) ​

Ответы

Ответ дал: ergeshovbekturgan3
4

.....................

Приложения:

kbasova69: это не то, там семёрка во второй скобке с минусом.
Вас заинтересует