• Предмет: Алгебра
  • Автор: olesiasiaaaa
  • Вопрос задан 3 года назад

умаляю допоможіть мнееее​

Приложения:

Ответы

Ответ дал: Darknessich
1

Ответ: 0

Объяснение:

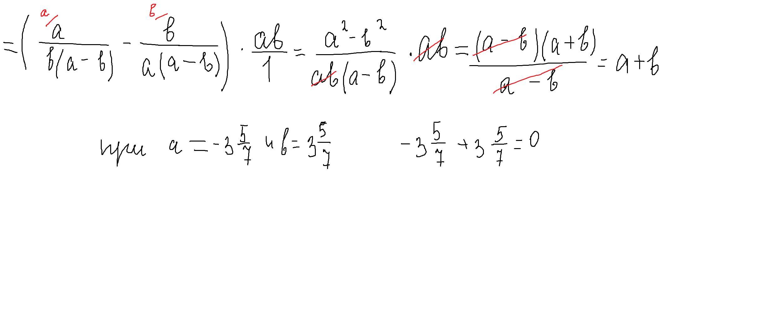
(\frac{a}{ab-b^2}-\frac{b}{a^2-ab} ):\frac{1}{ab} =(\frac{a}{(a-b)*b}-\frac{b}{a(a-b)} )*\frac{ab}{1} =(\frac{a*a}{a*(a-b)*b}-\frac{b*b}{a(a-b)*b} )*\frac{ab}{1} = \\\\=(\frac{a^2-b^2}{ab(a-b)} )*ab = \frac{a^2-b^2}{a-b} =  \frac{(a-b)(a+b)}{a-b} = a+b

a = -3\frac{5}{7}, \ b = 3\frac{5}{7} \\\\a+b =  (-3\frac{5}{7}) + 3\frac{5}{7} = 3\frac{5}{7} - 3\frac{5}{7} = 0

Ответ дал: parus77
0

Ответ:

0

Объяснение:

решение внизу

Приложения:
Вас заинтересует