• Предмет: Математика
  • Автор: Pomogite666pls
  • Вопрос задан 3 года назад

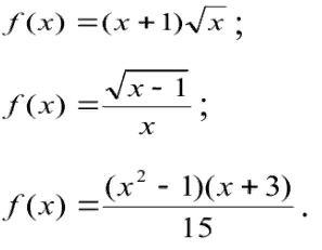
Вычислите производную функции
3 примера
пожалуйста!

Приложения:

Ответы

Ответ дал: Miroslava227
0

Ответ:

1)f'(x) = 1 \times  \sqrt{x}  +  \frac{1}{2}  {x}^{ -  \frac{1}{2} }  \times (x + 1) =  \sqrt{x}  +  \frac{x + 1}{2 \sqrt{x} }

2)f'(x) =  \frac{ \frac{1}{2}  {(x  - 1)}^{ -  \frac{1}{2} }  \times x - 1 \times  \sqrt{x - 1} }{ {x}^{2} }  =  \frac{ \frac{x}{2 \sqrt{x - 1}  }  -  \sqrt{x  - 1} }{ {x}^{2} }  =  \frac{1}{2x \sqrt{x - 1} }  -  \frac{ \sqrt{x - 1} }{ {x}^{2} }

3)f'(x) =  \frac{1}{15} (2x \times (x + 3) + 1 \times ( {x }^{2}  - 1)) =  \frac{1}{15} (2 {x}^{2}  + 6x +  {x}^{2}  - 1) =  \frac{3 {x}^{2} + 6x - 1 }{15}

Вас заинтересует