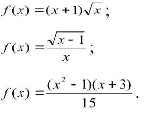
Необходимо вычислить производную функцию
Ответ желательно фото с листа бумаги... Заранее спасибо!
Приложения:

Ответы
Ответ дал:
1
Ответ:
Производная... 10 класс или 11...
Всё вычисляется по формулам.
Лучше их выучить сразу, чтобы не тупить, потом будет сложнее.
Надеюсь, я нигде не ошиблась и помогла Вам.
Приложения:

Pomogite666pls:
Спасибо большое! ~ ^^
Вас заинтересует
2 года назад
2 года назад
2 года назад
7 лет назад
7 лет назад
9 лет назад