• Предмет: Математика
  • Автор: vvv9013
  • Вопрос задан 3 года назад

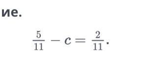
Реши уравнение.
Помогите пожалуйста

Приложения:

Ответы

Ответ дал: katavenzeleva362
1

Ответ:пять одинадцатых минус три одинадцатых равно две одинадцатых

Пошаговое объяснение:

Все


vvv9013: Не правильно но дай поставлю
Вас заинтересует