Решите пожалуйста. Буду очень благодарен.

Приложения:

Ответы

Ответ дал: nastikots
1

Ответ:

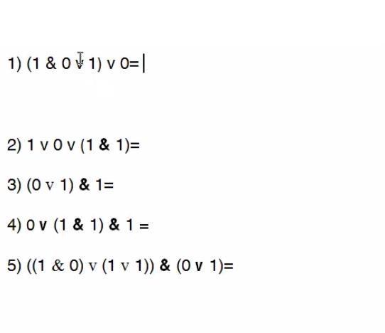
1) (1 & 0 ∨ 1) ∨ 0 = 1

2) 1 ∨ 0 ∨ (1 & 1) =  1

3) (0 ∨ 1) & 1 =  1

4) 0 ∨ (1 & 1) & 1 =  1

5) ((1 & 0) ∨ (1 ∨ 1)) & (0 ∨ 1) =  1

Объяснение:

1) (1 & 0 ∨ 1) ∨ 0 = (0 ∨ 1) ∨ 0 = 1 ∨ 0 = 1

2) 1 ∨ 0 ∨ (1 & 1) =  1 ∨ 0 ∨ 1 =  1 ∨ 1 =  1

3) (0 ∨ 1) & 1 =  1 & 1 =  1

4) 0 ∨ (1 & 1) & 1 = 0 ∨ 1 & 1 = 0 ∨ 1 = 1

5) ((1 & 0) ∨ (1 ∨ 1)) & (0 ∨ 1) =  (0 ∨ 1) & (0 ∨ 1) =  1 & 1 =  1

Общий порядок действий:  

1) скобки

2) НЕ (¬, черта над выражением) - значение противоположно исходному высказыванию  

3) И (&) - истинно, когда оба исходных высказывания истинны  

4) ИЛИ (∨) - ложно, когда оба исходных высказывания ложны  

Вас заинтересует