Решение квадратных уравнений. Урок 4
Установи соответствие.
Приложения:

Ответы
Ответ дал:
1
Объяснение:
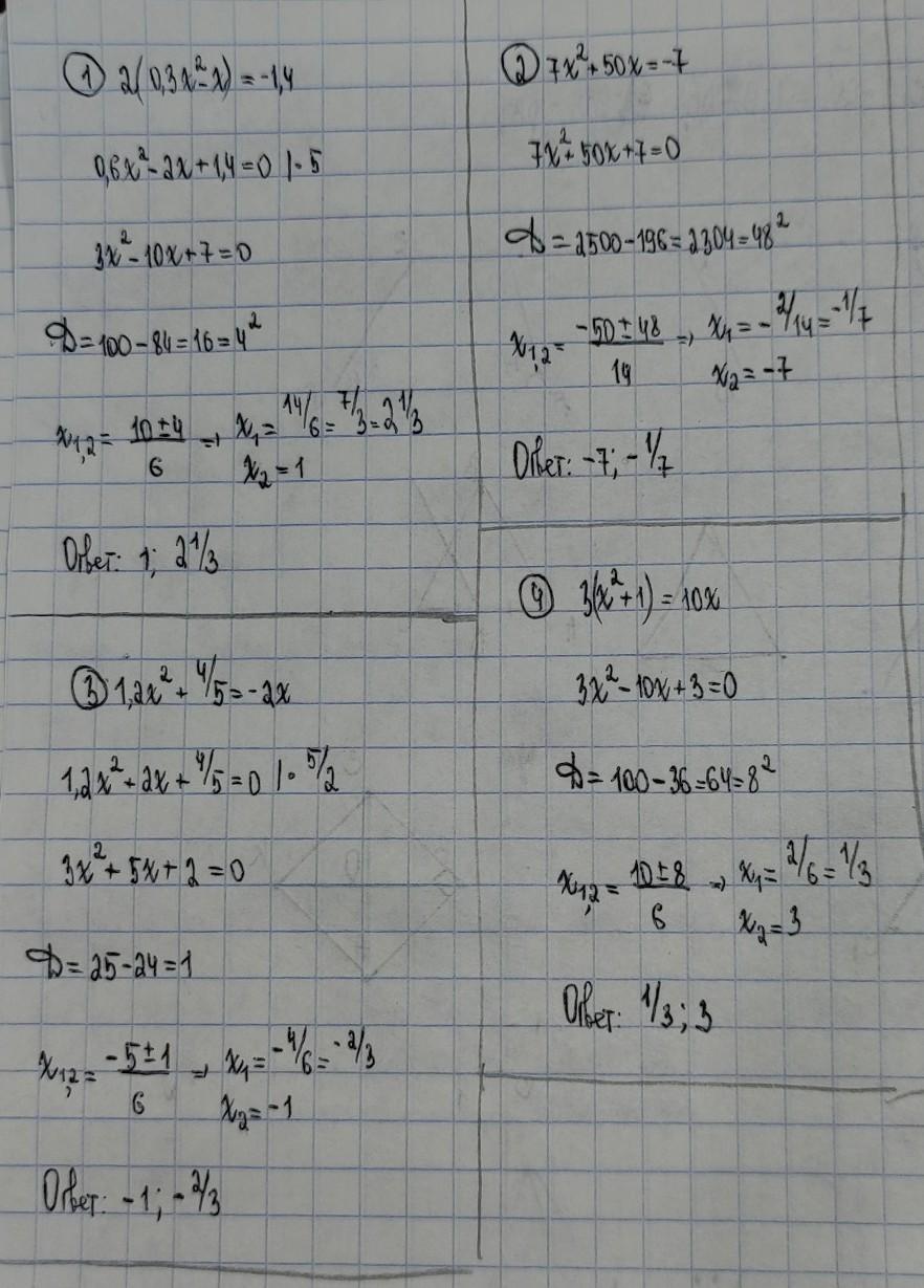
Решение представлено на фото)
Использовались формулы:
D = b²-4ac
Приложения:


Вас заинтересует
2 года назад
2 года назад
2 года назад
2 года назад
7 лет назад
7 лет назад
9 лет назад
9 лет назад
2-2
3-4
4-1 Это верно!