• Предмет: Алгебра
  • Автор: Kapusta2281
  • Вопрос задан 3 года назад

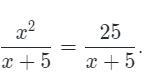
помогите решить пример

Приложения:

Ответы

Ответ дал: beisembek2019
0

Ответ:

х2= 25 х≠5

х=5, х=-5

х=5

Вас заинтересует