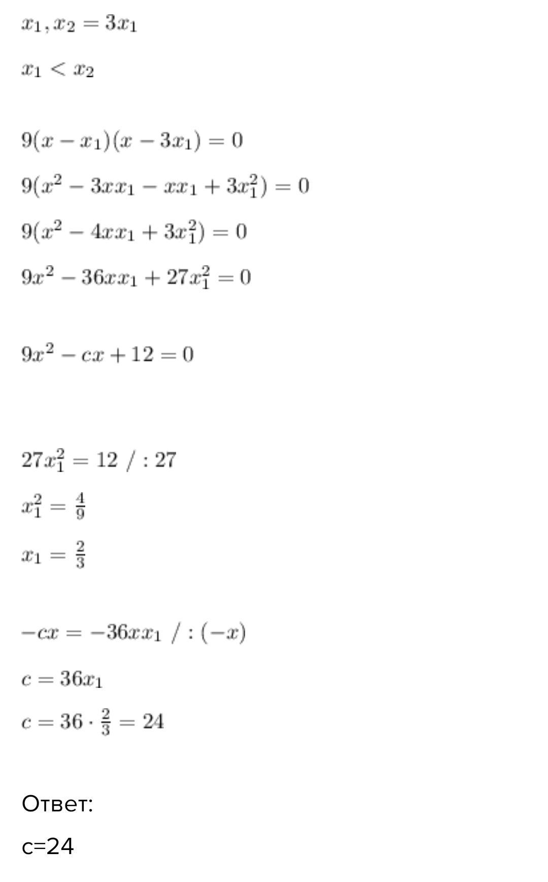
8.14. Один из корней уравнения 9x2 - cx + 12 =0 в 3 раза больше дру-
гого. Найдите с.
срочно можно через теорему Виета
СРОЧНО ПОЖАЛУЙСТА БЕЗ ОБМАНА
РЕШИТЕ
Ответы
Ответ дал:
7
Ответ:
Ответ на фото
Объяснение:
Это не моё решение, но думаю что правильно.
P.S сама буду это решение писать
Приложения:

Аноним:
спасибо
Вас заинтересует
2 года назад
2 года назад
2 года назад
2 года назад
7 лет назад
7 лет назад
9 лет назад
9 лет назад