• Предмет: Алгебра
  • Автор: giwaf86029
  • Вопрос задан 3 года назад

Надо последовательность цифр продолжить
1000-7=993 и так далее и так 15 раз

Ответы

Ответ дал: rasulserikuly
1

Ответ:

902

Объяснение:

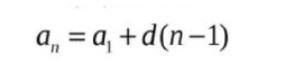
для того чтобы найти 15 цифр мы используем арифметическую прогрессию

формула на верху в фотографие!!!

здесь d=-7 n=15 a1=1000

a15=1000-7(15-1)=1000-98=902

Приложения:

giwaf86029: Надо расписать 993 и так далее 993 986
rasulserikuly: в таком случий используйте калькулятор
giwaf86029: я не умею
rasulserikuly: ну ок
rasulserikuly: шя отправлю
rasulserikuly: 993, 986, 979, 972, 965, 958, 951, 944, 937, 930, 923, 916, 909, 902, 895
rasulserikuly: вот
Вас заинтересует